Partially neutralized sodium salt of bis hexamethylene triamine penta (methylene phosphonic acid) (
Contact Us
Cas No.:35657-77-3
Molecular formula:C17H42O15N3P5Na2
Molecular weight: about 731
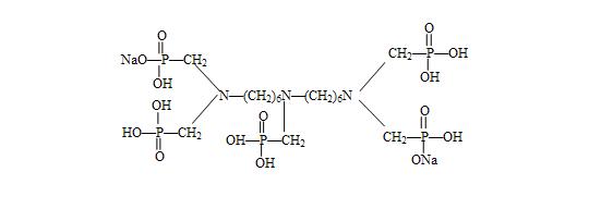
Structural Formula:

Other name: Partially neutralized sodium salt of bis hexamethylene triamine penta (methylene phosphonic acid) BHMTPH•PN(Na2)
1.Performance and usage
BHMTPh•PN(Na2)is a high performance chelating type anti-scale agent , it can well prevent the scale of CO3 and SO4. BHMTPh•PN(Na2)have a great water-solubility and stability even in a wide PH range and 120℃,. It has a strong ability on chelating Ca. BHMTPh•PN(Na2)can be used as corrosion inhibitor and scale inhibitor in oil field water treatment, industrial cycling cooling water and boiler water.
2.Technical indicators
|
Item |
Standard |
|
Appearance |
dark brown liquid |
|
Effective content(BHMTPMPA) /% |
35.0~39.0 |
|
pH value(1% solution) |
2.5~4.5 |
|
Density(20℃)/g·cm-3 |
1.21~1.31 |
|
Fe content(Fe) /mg·L-1 |
≤65.0 |
3.Package and Storage:
25kg per plastic barrel; can also be determined according to clients’ demand.
Store in a cool and ventilated place indoors, storage period is 1 year.
4. Safety protection
BHMTPh•PN(Na2)is week acidic material, pay attention to labor protection during operation. Avoid contact with skin, eyes, etc. After contact, rinse with plenty of water.
Contact us